Жанибек Алимхануы лишен титула чемпиона мира по версии IBF. За что?
Казахстанец Жанибек Алимханулы лишен титула IBF в среднем весе, сообщает Спорт Шредингера.
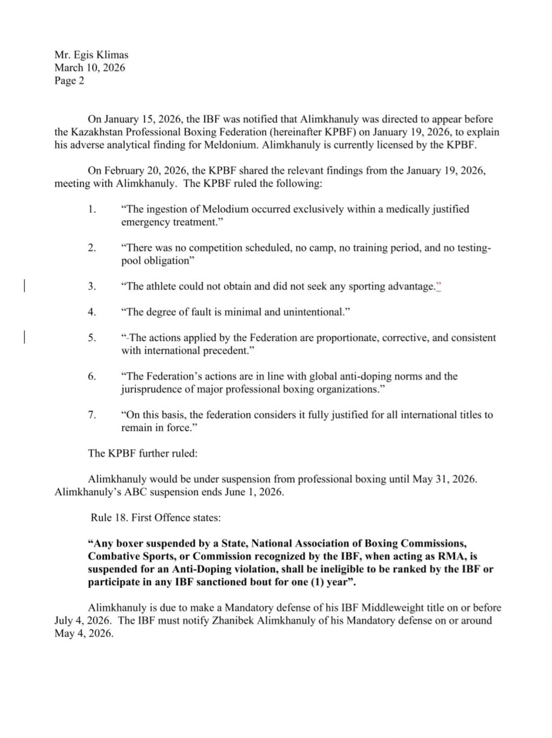
По правилам организации, чемпион обязан провести защиту титула в течение девяти месяцев. В случае Жанибека - это до 4 июля 2026 года.
При этом IBF, как и ранее WBO, дисквалифицировала Алимханулы на год за мельдоний в допинг-тесте- до 2 декабря 2026 года. Из-за невозможности провести защиту пояс объявлен вакантным.



У Алимханулы остался только титул WBO. По резолюции от этой организации, казахстанец обязан сразу после возвращения дать бой временному чемпиону - запрещены любые промежуточные и даже выставочные бои.
Посмотреть эту публикацию в Instagram
Алимханулы, Канело перед Головкиным и другие допинг-скандалы в боксе: что было?
Пояс IBF Алимханулы завоевал в октябре 2023 года, нокаутировав в объединительном бою Винчцено Гуалтьери из Германии, проводившего первую защиту. Казахстанец в итоге дважды защитил титул IBF.


Футбол
Реал Бетис
Эльче 
